HOME

剪切黏度 × 伸張黏度。


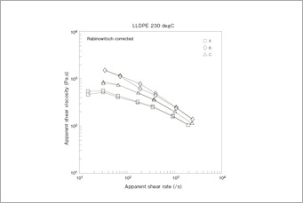
校正後的準確剪切黏度的測量實現高度再現性同時也能簡單地進行伸張黏度的測量,以便更好地了解材料的特性。
Imatec 公司的 R6000流變儀借助靈活的控制軟體和堅固的框架,防止了測量誤差等,為成型提供了必要的準確資訊,為材料設計提供了新的指標。

這是一個具有兩個測定筒的電腦控制雙管流變儀。

無需操作員進行定期校準!
採用白金傳感器(高精度0.01%、溫度穩定性0.0003%/℃、年度變動率0.001%)進行自動校準。

將筒體分為三個區域,每個區域均可獨立控制溫度。
筒體整體的溫度均勻性也非常優秀! 溫度控制用傳感器採用新開發的指節加熱器,設置在筒體中心附近。可精確控制樣品溫度。

活塞速度可調範圍從0.01mm/min到500mm/min(最高速度可選擇達到1,000mm/min)。
使用0.25mm的模具,剪切速度可達9.6×10 5/s。

用於測量樹脂壓力的是超精密級壓力傳感器,測量穩定性也非常出色!
軟體具有壓力平衡點檢測功能,可以在最短的時間內獲取高精度的壓力數據。

壓力傳感器插入模具入口,直接測量樹脂壓力。施加在活塞上的負載由另外的荷重元進行測量。

為應對測量過程中有毒氣體的生成,可提供強制排氣裝置。

活塞負載、樹脂壓力的超載都有互鎖系統。

為了應對緊急的情況,在裝置的前面設有安全門,以確保操作人員的安全。