2本の測定筒が、「せん断粘度」と「伸張粘度」を同時測定


コンピューター制御式ツイン・キャピラリー レオメーター


HOME

R6000

せん断粘度 × 伸張粘度。


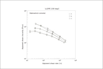
補正された正確なせん断粘度の測定を高い再現性で実現。
さらに伸張粘度も簡単に測定を可能にし、素材の本質を見極めます。柔軟な制御ソフトウェアや堅牢なフレームによる測定誤差防止など、成形に必要な正確な情報を顕著にさせるイマテック社のR6000は、材料設計に新たな指標を提供します。

測定筒が2本あるコンピューター制御式ツイン・キャピラリィ・レオメーター。

オペレーターによる定期的な較正作業は一切必要なし!
白金センサー(高精度0.01%・温度安定性0.0003%/℃・経時的変動率0.001%/年)で自動較正。

バレルを3ゾーンに分割し、各ゾーンが独立して温度コンロール。バレル全体の温度均一性も抜群!
温度コントロール用センサーは新開発のナックル・ヒーターでバレルの中心部にごく近い位置に設置。サンプル温度が正確にコントロール。

ピストン・スピードの可変範囲は0.01mm/minから500mm/min(オプションで最高速度1.000mm/min)。
0.25mmのダイの使用で、せん断速度は9.6×10 5/s まで。

樹脂圧力の測定には超精密級圧力センサーを使用し、測定安定性も抜群!
ソフトウェアに圧力平衡点検出機能があり、精度の高い圧力データを必要最小限の時間で取り込み。

圧力センサーをダイ入り口に挿し込み、直接、樹脂圧力を測定。ピストンに加えられる荷重は、別途ロードセルで計測。

測定中に有毒ガスが発生する場合に備え、強制排気装置の設備も可。

ピストン荷重、樹脂圧力のオーバーロードに対するインターロック・システム。

万一に備え、装置前面部には安全装置付きのドアを装備し、オペレーターの安全が確保。